Résolution Excercice Mathématiques

Partager l'annonce

Gestion de l'annonce

Modifier l'annonce Retirer l'annonce

Statistiques de l'annonce

Nombre de vues : 340

Dernière visite le : 24/02 à 17:23

Référence : 52540

Informations générales

77000 MELUN

Annonce déposée

Détail de l'annonce

Salem aleykoum,
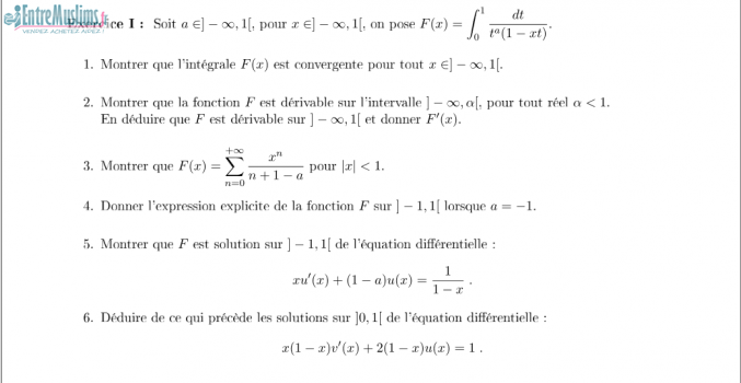
en vue de préparer un concours, je recherche une personne pouvant me résoudre les exercices (voir les images) avec le détail. Je vous remercie par avance.
Maa Salem.

Signaler l'annonce